назад
Реализация модели на конкретном примере
.Возьмём реальные данные одной из школ края о рождаемости, об учителях( количество, пол, год рождения), учебный план школы. Будем считать, что уроки трудового обучения, физической культуры, изобразительного искусства, музыки в начальных классах ведут учителя начальных классов. Положим, что черчение, информатику ведут учителя математики, экономику и обществознание ведут учителя истории, природоведение ведут учителя биологии, одни и те же учителя ведут литературу и русский язык, одни и те же учителя ведут музыку, изобразительное искусство, учителя физики ведут уроки астрономии.
Пользуясь, необходимыми исходными данными, составленным алгоритмом, рассчитаем оптимальную численность кадрового состава и потребность в учителях на 2000 год, сравним полученные результаты с реальными данными.
Учебный план образовательного учреждения
:|
Учебные предметы |
Количество часов по классам в неделю |
||||||||||||||
|
5 |
Выбор |
6 |
Выбор |
7 |
Выбор |
8 |
Выбор |
||||||||
|
1 |
2 |
1 |
2 |
1 |
2 |
1 |
2 |
||||||||
|
Русский язык |
5 |
1 |
- |
5 |
- |
- |
5 |
1 |
- |
3 |
- |
- |
|||
|
Литература |
3 |
- |
- |
2 |
- |
- |
2 |
- |
- |
2 |
- |
- |
|||
|
Иностранный язык |
3 |
- |
- |
3 |
- |
- |
3 |
- |
- |
3 |
- |
- |
|||
|
История |
2 |
- |
- |
2 |
- |
- |
2 |
- |
- |
3 |
1 |
- |
|||
|
Основы экономики |
- |
- |
- |
- |
- |
- |
- |
- |
- |
- |
- |
- |
|||
|
Математика |
5 |
1 |
- |
5 |
1 |
- |
5 |
- |
- |
4,5 |
0,5 |
- |
|||
|
Природоведение |
1 |
- |
- |
- |
- |
- |
- |
- |
- |
- |
- |
- |
|||
|
География |
- |
- |
- |
2 |
- |
- |
2 |
- |
- |
2 |
- |
- |
|||
|
Биология |
- |
- |
- |
2 |
- |
- |
2 |
- |
- |
2 |
- |
- |
|||
|
Астрономия |
- |
- |
- |
- |
- |
- |
- |
- |
- |
- |
- |
- |
|||
|
Физика |
- |
- |
- |
- |
- |
- |
2 |
- |
- |
2 |
- |
- |
|||
|
Химия |
- |
- |
- |
- |
- |
- |
- |
- |
- |
2 |
- |
- |
|||
|
Музыка |
1 |
- |
- |
1 |
- |
- |
1 |
- |
- |
- |
- |
- |
|||
|
ИЗО |
1 |
- |
- |
1 |
- |
- |
- |
- |
- |
- |
- |
- |
|||
|
МХК |
- |
- |
- |
- |
- |
- |
- |
- |
- |
- |
- |
- |
|||
|
Черчение |
- |
- |
- |
- |
- |
- |
1 |
- |
- |
1 |
- |
- |
|||
|
Физкультура |
2 |
- |
- |
2 |
- |
- |
2 |
- |
- |
2 |
- |
- |
|||
|
ОБЖ |
- |
- |
- |
- |
- |
- |
- |
- |
- |
- |
- |
- |
|||
|
Трудовое обучение |
2 |
- |
- |
2 |
- |
- |
2 |
- |
- |
2 |
- |
- |
|||
|
Обществознание |
- |
- |
- |
- |
- |
- |
- |
- |
- |
- |
- |
- |
|||
|
Информатика |
- |
- |
- |
- |
- |
- |
- |
- |
- |
- |
- |
- |
|||
|
Учебные предметы |
Количество часов по классам в неделю |
|||||||||||
|
9 |
Выбор |
10 |
Выбор |
11 |
Выбор |
|||||||
|
1 |
2 |
1 |
2 |
1 |
2 |
|||||||
|
Русский язык |
3 |
1 |
- |
1 |
1 |
- |
1 |
1 |
- |
|||
|
Литература |
2 |
- |
- |
4 |
- |
- |
4 |
- |
- |
|||
|
Иностранный язык |
3 |
- |
- |
1 |
1 |
- |
1 |
- |
- |
|||
|
История |
3 |
- |
- |
3 |
- |
- |
3 |
1 |
- |
|||
|
Основы экономики |
- |
- |
- |
1 |
- |
- |
1 |
- |
- |
|||
|
Математика |
5 |
1 |
- |
4 |
1 |
- |
5 |
1 |
- |
|||
|
Природоведение |
- |
- |
- |
- |
- |
- |
- |
- |
- |
|||
|
География |
2 |
- |
- |
2 |
- |
- |
- |
- |
- |
|||
|
Биология |
2 |
- |
- |
1 |
- |
- |
2 |
- |
- |
|||
|
Астрономия |
- |
- |
- |
- |
- |
- |
1 |
- |
- |
|||
|
Физика |
2 |
- |
- |
3 |
- |
- |
3 |
1 |
- |
|||
|
Химия |
2 |
- |
- |
2 |
- |
- |
1 |
- |
- |
|||
|
Музыка |
- |
- |
- |
- |
- |
- |
- |
- |
- |
|||
|
ИЗО |
- |
- |
- |
- |
- |
- |
- |
- |
- |
|||
|
МХК |
- |
- |
- |
- |
- |
- |
- |
- |
- |
|||
|
Черчение |
- |
- |
- |
- |
- |
- |
- |
- |
- |
|||
|
Физкультура |
2 |
- |
- |
2 |
- |
- |
2 |
- |
- |
|||
|
ОБЖ |
1 |
- |
- |
2 |
- |
- |
1 |
- |
- |
|||
|
Трудовое обучение |
2 |
- |
- |
2 |
- |
- |
2 |
- |
- |
|||
|
Обществознание |
- |
- |
- |
2 |
- |
- |
2 |
- |
- |
|||
|
Информатика |
- |
- |
- |
- |
1 |
- |
- |
1 |
- |
|||
Данные о рождаемости
.|
Год рождения |
1984 |
1985 |
1986 |
1987 |
1988 |
1989 |
1990 |
1991 |
1992 |
|
Число родившихся |
63 |
79 |
86 |
45 |
100 |
101 |
92 |
81 |
76 |
|
Год рождения |
1993 |
1994 |
1995 |
1996 |
1997 |
1998 |
1999 |
2000 |
|
|
Число родившихся |
66 |
69 |
51 |
36 |
37 |
28 |
49 |
41 |
Данные о количестве учащихся
.|
Год обучения |
1 |
2 |
3 |
4 |
5 |
6 |
7 |
8 |
9 |
10 |
11 |
|
Число учащихся |
66 |
71 |
79 |
85 |
90 |
98 |
95 |
47 |
82 |
88 |
64 |
Данные о количестве классов
.|
Год обучения |
1 |
2 |
3 |
4 |
5 |
6 |
7 |
8 |
9 |
10 |
11 |
|
Число классов |
3 |
3 |
4 |
4 |
4 |
4 |
4 |
2 |
4 |
4 |
3 |
Данные об учителях
.|
Предмет |
число |
Номер |
Пол |
Год рождения |
|
Нач.классы |
14 |
1 |
Ж |
1967 |
|
2 |
Ж |
1958 |
||
|
3 |
Ж |
1971 |
||
|
4 |
Ж |
1969 |
||
|
5 |
Ж |
1960 |
||
|
6 |
Ж |
1974 |
||
|
7 |
Ж |
1970 |
||
|
8 |
Ж |
1966 |
||
|
9 |
Ж |
1949 |
||
|
10 |
Ж |
1972 |
||
|
11 |
Ж |
1961 |
||
|
12 |
Ж |
1969 |
||
|
13 |
Ж |
1972 |
||
|
14 |
Ж |
1971 |
||
|
Математика |
6 |
1 |
Ж |
1960 |
|
2 |
Ж |
1967 |
||
|
3 |
Ж |
1972 |
||
|
4 |
Ж |
1946 |
||
|
5 |
Ж |
1957 |
||
|
6 |
Ж |
1970 |
||
|
7 |
Ж |
1961 |
||
|
Литература Русский язык |
8 |
1 |
1948 |
|
|
2 |
Ж |
1957 |
||
|
3 |
Ж |
1969 |
||
|
4 |
Ж |
1970 |
||
|
5 |
Ж |
1949 |
||
|
6 |
Ж |
1950 |
||
|
7 |
Ж |
1965 |
||
|
8 |
Ж |
1966 |
||
|
Иностр.язык |
4 |
1 |
М |
1950 |
|
2 |
Ж |
1968 |
||
|
3 |
Ж |
1947 |
||
|
4 |
Ж |
1964 |
||
|
История |
4 |
1 |
Ж |
1967 |
|
2 |
Ж |
1971 |
||
|
3 |
Ж |
1974 |
||
|
4 |
Ж |
1976 |
||
|
География |
2 |
1 |
Ж |
1964 |
|
2 |
Ж |
1959 |
||
|
Биология |
2 |
1 |
М |
1943 |
|
2 |
Ж |
1964 |
||
|
Физика |
2 |
1 |
Ж |
1946 |
|
2 |
Ж |
1959 |
||
|
Химия |
1 |
1 |
Ж |
1969 |
|
МХК, ИЗО, Музыка |
2 |
1 |
Ж |
1972 |
|
Физ.культура |
3 |
1 |
М |
1971 |
|
2 |
М |
1959 |
||
|
3 |
М |
1964 |
||
|
ОБЖ |
1 |
1 |
М |
1955 |
|
Труд.обучение |
4 |
1 |
М |
1958 |
|
2 |
М |
1971 |
||
|
3 |
Ж |
1959 |
||
|
4 |
Ж |
1967 |
1.Определим число учащихся каждого года обучения
:p1=2000-(1+5)=2000-6=1994.
Составляем таблицу данных|
Год обучения |
1 |
2 |
3 |
4 |
5 |
6 |
7 |
8 |
9 |
10 |
11 |
|
Число учащихся |
69 |
66 |
76 |
81 |
92 |
101 |
100 |
45 |
86 |
79 |
63 |
2.Определим число классов каждого года обучения в прогнозируемом году
:m=1:
=
=2
;[n1/25]=2, r-
m=2:
=
=2
; [n2/25]=2, r=16, 16>0, l2=3;
m=3:
=
=3
; [n3/25]=3, r=1, 1>0, l3=4;
m=4:
=
=3
; [n4/25]=3; r=6, 6>0, l4=4;
m=5:
=
=3
; [n5/25]=3, r=17, 17>0, l5=4;
m=6:
=
=4
; [n6/25]=4, r=1, 1>0, l6=5;
m=7:
=
=4; [n7/25]=4, r=0, l7=4;
m=8:
=
=1
; [n8/25]=1, r=20, 20>0, l8=2;
m=9:
=
=3
; [n9/25]=3, r=11, 11>0, l9=4;
m=10:
=
=3
; [n10/25]=3, r=4, 4>0, l10=4;
m=11:
=
=2
; [n11/25]=2, r=13, 13>0, l11=3.
Число групп для уроков труда
:m=5: l=2*l5=2*4=8;
m=6: l=2*l6=2*5=10;
m=7: l=2*l7=2*4=8;
m=8: l=2*l8=2*2=4;
m=9: l=2*l9=2*4=8;
m=10: l=2*l10=2*4=8;
m=11: l=2*l11=2*3=6.
Число групп для уроков иностранного языка, информатики и вычислительной техники
:m=5:
=
=23; [n5/l5]=23, l=l5=4;
m=6:
=
=20
; [n6/l6]=20, l=l6=5;
m=7:
=
=25; [n7/l7]=25, l=2*l7=2*4=8;
m=8:
=
=22
; [n8/l8]=22, l=l8=2;
m=9:
=
=21
; [n9/l9]=21, l=l9=4;
m=10:
=
=19
; [n10/l10]=19, l=l10=4;
m=11:
=
=21; [n11/l11]=21, l=l11=3.
3.
Определим оптимальную численность учителей каждого предмета и начальных классов в прогнозируемом году.Найдём число учителей начальных классов.
U=
=3+3+4+4=14; U=14.
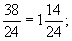
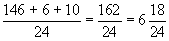
Число учителей математики.
Количество часов уроков математики
:
=4*6+5*6+4*5+2*5+4*6+4*5+3*6=24+30+20+
+10+24+20+18=146.
Количество часов уроков черчения
:
=4*1+2*1=4+2=6.
Количество часов уроков информатики и ВТ
:
=4*1+3*2=4+6=10.
Тогда,
Число учителей литературы и русского языка.
Количество часов уроков литературы
:
=4*3+5*2+4*2+2*2+4*2+4*4+3*4=12+10+8+4++8+16+
+12=70.
Количество часов уроков русского языка
:
=4*6+5*5+4*6+2*3+4*4+4*2+3*2=24+25+24+6+16+8+6==109.
Тогда,
Число учителей
иностранного языка.
=4*3+5*3+8*3+2*3+4*3+4*2+3*1=12+15+24+6+12+8+3=80;
Тогда
,Число учителей истории.
Количество часов уроков истории
:
=4*2+5*2+4*2+2*4+4*3+4*4+3*4=8+10+8+8+12+16+ +12=74.
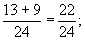
Количество часов уроков экономики
:
=4*1+3*1=7.
Количество часов уроков обществознания
:
=4*2+3*2=8+6=14.
Тогда,
Число учителей географии.
=5*2+4*2+2*2+4*2+4*2=10+8+4+8+8=38;
[38/24]=1, r=14, 14>12, U=2.
Число учителей биологии.
Количество часов уроков биологии
:
=5*2+4*2+2*2+4*2+4*1+3*2=10+8+4+8+4+6=40.
Количество часов уроков природоведения
:
=4*1=4.
Тогда,
Число учителей физики.
Количество часов уроков физики
:
=4*2+2*2+4*2+4*3+3*4=8+4+8+12+12=44.
Количество часов уроков астрономии
:
=3*1=3.
Тогда
,Число учителей химии.
=2*2+4*2+4*2+3*1=4+8+8+3=23.
Тогда
, [23/24]=0, r=23, 23>12, U=1.Число учителей музыки, ИЗО, МХК.
Количество часов уроков музыки
:
=4*1+5*1+4*1=4+5+4=13.
Количество часов уроков ИЗО
:
=4*1+5*1=4+5=9.
Тогда,
Число учителей физической культуры.
=4*2+5*2+4*2+2*2+4*2+4*2+3*2=8+10+8+4+8+
+8+6=52.
Тогда,
Число учителей ОБЖ.
=4*1+4*2+3*1=15; 15<24
Тогда,
U=1.Число учителей трудового обучения.
=8*2+10*2+8*2+4*2+8*2+8*2+6*2=16+20+16+8+16+16+12=104.
Тогда,
А теперь, используя полученные результаты и реальные данные, составим сравнительную таблицу.
|
Предмет |
Расчётное число учителей |
Реальное число учителей |
|
Нач.классы |
14 |
14 |
|
Математика |
7 |
7 |
|
Литература, русский язык |
7 |
8 |
|
Иностранный язык |
3 |
4 |
|
История |
3 |
4 |
|
География |
2 |
2 |
|
Биология |
2 |
2 |
|
Физика |
2 |
2 |
|
Химия |
1 |
1 |
|
Музыка, МХК, ИЗО |
1 |
1 |
|
Физическая культура |
2 |
3 |
|
ОБЖ |
1 |
1 |
|
Трудовое обучение |
4 |
4 |
4.Определим потребность в учителях каждого предмета и начальных классов в прогнозируемом году.
Воспользуемся составленной таблицей и данными о поле учителей, их годе рождения.
Начальные классы
:Женщины
:2000-1967=33; 2000-1966=34;
2000-1958=42; 2000-1949=51;
2000-1971=29; 2000-1972=28;
2000-1969=31; 2000-1961=39;
2000-1960=40; 2000-1969=31;
2000-1974=26; 2000-1972=28;
2000-1970=30; 2000-1971=29;
Сравнивая полученные значения разности с 55
для женщин и с 60 для мужчин, получаем значение V:V=0.Тогда
, P=(U-Y)+V=14-14+0=0.Вывод
: потребности и избытка нет.Математика
:Женщины
:2000-1960=40; 2000-1946=54; 2000-1961=39;
2000-1967=33; 2000-1957=43;
2000-1972=28; 2000-1970=30;
Сравнивая полученные значения разности с 55
для женщин и с 60 для мужчин, получаем значение V:V=0.Тогда
, P=(U-Y)+V=7-7+0=0.Вывод
: потребности и избытка нет.Литература, русский язык
:Женщины
:2000-1948=52; 2000-1949=51;
2000-1957=43; 2000-1950=50;
2000-1969=31; 2000-1965=35;
2000-1970=30; 2000-1966=34;
Сравнивая полученные значения разности с 55
для женщин и с 60 для мужчин, получаем значение V:V=0.Тогда
, P=(U-Y)+V=7-8+0=-1.Вывод
: избыток учителей, равный одному учителю.Иностранный язык
:Женщины
:2000-1968=32; 2000-1964=36;
2000-1947=53;
Мужчины
:2000-1950=50;
Сравнивая полученные значения разности с 55
для женщин и с 60 для мужчин, получаем значение V:V=0.Тогда
, P=(U-Y)+V=3-4+0=-1.Вывод
: избыток учителей, равный одному учителю.История
:Женщины
:2000-1967=33; 2000-1974=26;
2000-1971=29; 2000-1976=24;
Сравнивая полученные значения разности с 55
для женщин и с 60 для мужчин, получаем значение V:V=0.Тогда
, P=(U-Y)+V=3-4+0=-1.Вывод
: избыток учителей, равный одному учителю.География
:Женщины
:2000-1964=36; 2000-1959=41;
Сравнивая полученные значения разности с 55
для женщин и с 60 для мужчин, получаем значение V:V=0.Тогда
, P=(U-Y)+V=2-2+0=0.Вывод
: потребности и избытка нет.Биология
:Женщины
:2000-1964=36;
Мужчины
:2000-1943=57;
Сравнивая полученные значения разности с 55
для женщин и с 60 для мужчин, получаем значение V:V=0.Тогда
, P=(U-Y)+V=2-2+0=0.Вывод
: избытка и потребности нет.Физика
:Женщины
:2000-1946=54; 2000-1959=41;
Сравнивая полученные значения разности с 55
для женщин и с 60 для мужчин, получаем значение V:V=0.Тогда
, P=(U-Y)+V=2-2+0=0.Вывод
: потребности и избытка нет.Химия
:Женщины
:2000-1969=31;
Сравнивая полученные значения разности с 55
для женщин и с 60 для мужчин, получаем значение V:V=0.Тогда
, P=(U-Y)+V=1-1+0=0.Вывод
: потребности и избытка нет.Музыка, ИЗО, МХК
:Женщины
:2000-1972=28;
Сравнивая полученные значения разности с 55
для женщин и с 60 для мужчин, получаем значение V:V=0.Тогда
, P=(U-Y)+V=1-1+0=0.Вывод
: потребности и избытка нет.Физическая культура
:Мужчины
:2000-1971=29; 2000-1964=36;
2000-1959=41;
Сравнивая полученные значения разности с 55
для женщин и с 60 для мужчин, получаем значение V:V=0.Тогда
, P=(U-Y)+V=2-3+0=-1.Вывод
: избыток учителей, равный одному учителю.ОБЖ
:Мужчины
:2000-1955=45;
Сравнивая полученные значения разности с 55
для женщин и с 60 для мужчин, получаем значение V:V=0.Тогда
, P=(U-Y)+V=1-1+0=0.Вывод
: потребности и избытка нет.Трудовое обучение
:Женщины
:2000-1959=41; 2000-1967=33;
Мужчины
:2000-1958=42; 2000-1971=29;
Сравнивая полученные значения разности с 55
для женщин и с 60 для мужчин, получаем значение V:V=0.Тогда
, P=(U-Y)+V=4-4+0=1.Вывод
: потребности и избытка нет.предыдущая страница