назад
Разработка модели.
Определение числа классов каждого года обучения в прогнозируемом
году.Используя полученные значения числа учащихся каждого года обучения в прогнозируемом году, полученные в предыдущем пункте алгоритма и значение нормативной наполняемости класса - 25 учащихся, можно получить следующую формулу для расчёта числа классов каждого года обучения в прогнозируемом году:

(1):если остаток от деления nm на 25 равен нулю.
(2):
если остаток от деления nm на 25 больше нуля;где
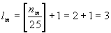
Пример. Определим число 2-х классов, если число учащихся 2-х классов в прогнозируемом году равно 67.
Получаем:
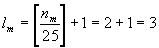
Пример. Определим число 10-х классов, если численность учащихся в прогнозируемом году равно 100.
Получаем:
Уточним введенную формулу для уроков труда. На уроки труда класс делится на две группы. Следовательно, число классов для уроков труда увеличивается в 2 раза.
l
m.тр=2lm.Для уроков информатики и вычислительной техники, иностранного языка делим пополам число классов с наполняемостью 25 человек. При построении модели мы полагаем, что численность некоторого класса равна 25, если численность учащихся в остальных классах этого же года обучения равна 25 или 24 учащихся. В этом случае, число классов, с наполняемостью 25 человек, можно определить следующим образом: это остаток от деления
nm на lm, если [nm/lm]=24. Тогда, если, в данном случае, остаток равен r, то число классов для этих уроков можно вычислить следующим образом: lm.ин=lm+r. Действительно,lm=(lm-r)+r, lm.
ин=(lm-r)+2r=lm-r+2r=lm+r.Если
[nm/lm]=25, то все классы максимально наполнены. Тогда число групп дла уроков информатики и ВТ, иностранного языка равно lm.ин=2lm.Алгоритм нахождения числа классов, некоторого года обучения, для уроков иностранного языка, информатики и ВТ.
Пример.
Пусть число m - х классов равно 4. Найдем число классов для уроков труда. Воспользуемся выведенной формулой:
.
Таким образом, число
m - х классов для уроков труда равно 8.Пример. Пусть число учащихся m -х классов равно 100. Рассчитаем число m-х классов и число групп для уроков информатики и иностранного языка.
Число m-х классов:
Число групп:
Найдем значение
Следовательно, все классы наполнены полностью. Тогда, Пример.
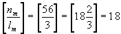
Пусть число учащихся m - х классов равно 73. Найдем число m - х классов и число группы для уроков иностранного языка, информатики и вычислительной техники.Число m - х классов:
, т. е.
, остаток от деления
равен 23, 23>0.
Следовательно,
Итак,
lm = 3.Число групп:
Найдем значение
.
Находим число классов с наполняемостью - 25 учащихся, оно равно остатку от деления
nm на lm , который равен 1.Тогда,
Итак,
l=4.Пример.
Пусть число учащихся m - х классов равно 56. Найдем число m - х классов и число групп для уроков информатики и вычислительной техники, иностранного языка.Число
m - х классов:Следовательно,
Итак,
lm = 3.Число групп:
Найдем значение
Значит
и
.
Следовательно, число групп равно числу классов, т. е.
l= 3.Итак,
l= 3.предыдущая страница