назад
Разработка модели.
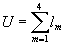
Определение оптимальной численности учителей каждого предмета и начальных классов в прогнозируемом году.
При расчете будем учитывать, что норма учебной нагрузки учителя равна 18 часов в неделю, максимальная нагрузка- 36 часов в неделю. Значение оптимальной нагрузки- 24 часа в неделю.
Обозначим через
Sm- число часов предмета в неделю в m- ом классе, а через U- оптимальную численность учителей данного предмета.Тогда :
(2) 
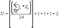
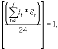
(4):
если остаток от деления
меньше либо равен 12;
(5):
если остаток от деления
больше 12;
где
i- номер класса, в котором начинается предмет,j-
номер класса, в котором заканчивается предмет,Определяющий остаток устанавливается равным 12, для того, чтобы при вычислении не произошло, для некоторого учителя, превышения его максимальной нагрузки (если
r>12, то 24+ r> 36).Число учителей начальных классов определяется проще. Необходимое число учителей начальных классов равно числу начальных классов, т. е.
U в данном случае можно вычислить следующим образом:(3)
.
Алгоритм расчета численности учителей.
и его целую часть. В зависимости от значения остатка определяем способ вычисления U.
Важно отметить, что в общеобразовательных учреждениях для учителя ОБЖ отводится отдельная полная ставка. Поэтому для расчёта численности учителей ОБЖ целесообразно использовать следующую формулу
(2) 
(1):
если(2):
еслиПример. Определить оптимальную численность учителей начальных классов по следующим данным:
|
Номер класса |
1 |
2 |
3 |
4 |
|
Число классов |
4 |
3 |
3 |
2 |
Решение.
Выбираем формулу (3):![]()
Таким образом, оптимальное число учителей в данном случае равно 12.
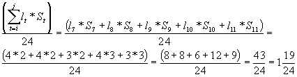
Пример. Определить оптимальную численность учителей физики.
Решение. Выбираем формулу (2). Для вычисления необходимы следующие данные: значения
i, j, lt, St, где t= i, ..., j. Пользуясь базисным учебным планом определяем значения i, j, St, t= i,..., j.Итак,
i= 7, j= 11. S7= 2, S8= 2, S9= 2, S10= 3, S11= 3.И имеем следующие данные:
|
Номер класса |
7 |
8 |
9 |
10 |
11 |
|
Число классов |
4 |
4 |
3 |
4 |
3 |
Найдем значение оптимальной численности учителей:

Тогда:
остаток равен 19.
Следовательно,
Таким образом, оптимальная численность учителей физики, в данном случае, равна 2.
предыдущая страница